Solid-solid drag in TFM

Hi Team,

I want to run some simulations for segregation and mix of two kinds of particles with different size and density under fluidization, using MFIX TFM. Gas and the two kinds of particles will be a phase. Therefore, it should be infact a multi(three)-fluid model. I have investigated some referances, and for these systems, both gas-solid drag and solid-solid drag should be considered (for example the paper with DOI: 10.1002/cjce.23561). However, when I attempted to include two solids in TFM solid panel, I did not find a space that allow me to define the solid-solid drag. I have attached my .mfx file. Could you please give me any suggestions on this? Thanks very much.test.mfx (18.2 KB)

1 Like

If you find nowhere to set the solid-solid drag (c_f), you need to manually add the keyword into the .mfix file.

Hi GaoXi,

Thanks very much for your suggestions. I indeed noticed c_f in the .mfix file, which is also displayed in GUI. I am not sure about this. Is c_f (coefficient of the friction between the particles of two solid phases) the solid-solid drag coefficient that always showed in references?

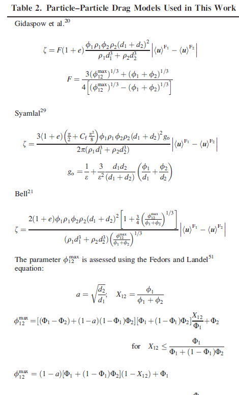
Some of the literature considered the solid-solid drag. I think we need a model to consider the interaction between two solid phases in TFM.

Hi GaoXi,

Thanks again for your help. I am still confused about the difference between the solid-solid drag and c_f here in MFIX. Are they actually two different models to show the interaction of two kinds of solid phases? Also, did you see any references that used c_f in segregation/mix study?

Read the theory document about the solid-solid drag model in mfix
mfix-19.3.0\mfix-19.3.0\doc\archive\theory

Also see the following reference on application of the solid drag in particle segregation study in fluidized bed:

Hydrodynamics of particle segregation in fluidized beds,International Journal of Multiphase Flow,2004,
Pages 419-428,
https://doi.org/10.1016/j.ijmultiphaseflow.2004.01.003.

Also see the comparison of different solid-solid drag models:

CFD modeling of binary‐fluidized suspensions and investigation of role of particle–particle drag on mixing and segregation,AIChE Journal 2007,1924-1940

https://aiche.onlinelibrary.wiley.com/doi/10.1002/aic.11227

1 Like

Thanks very much for sharing these documents.